Olá, tudo bem com você?
Meu nome é André Franco, sou sócio da Empiricus e analista de investimentos especializado em criptomoedas.
Eu não sei se você está acompanhando, mas o mercado de moedas digitais vive um forte ciclo de alta, com possibilidade de lucros significativos para quem investe.
Eu acredito que uma nova década de ganhos esteja apenas começando.
E você ainda está em tempo de começar a investir e também ganhar dinheiro.
Hoje você vai conhecer um grupo de assinantes da Empiricus que já está lucrando com as minhas indicações.
São histórias reais, de gente que virou a chavinha e descobriu que valia a pena diversificar uma pequena parte do patrimônio num mercado com potencial de ganhos exponenciais.
Pode apostar que elas não se arrependeram.
Mais do que conhecer essas pessoas, você vai ter a chance de fazer parte do nosso grupo, numa condição muito especial.
EU VOU TE DAR DE PRESENTE um lote da minha NOVA APOSTA no mercado de moedas digitais para os próximos 9 meses.
Veja só, esta não é a primeira vez que damos um lote de criptomoedas para quem prestigia o trabalho da Empiricus.
Já fizemos isso em 7 oportunidades…
A primeira foi em 20/05/2019, quando demos cerca de R$ 100 de CHAINLINK para cada um dos assinantes que aceitaram o convite.
Era a minha principal aposta na época, e o resultado surpreendeu até mesmo quem acreditou na iniciativa.
Da data de aquisição até 15/03/2021, data em que preparo esta mensagem, ela se valorizou impressionantes +3.196% em reais.

Fonte: TradingView
É isso mesmo que você está vendo.
Tivemos a satisfação de dar ao nosso assinante um presente cujo valor se multiplicou por quase 33 vezes em apenas 1 ano e 10 meses.
Isto é…
O assinante não precisou investir um único centavo, nem perdeu tempo descobrindo como operacionalizar a compra das moedas.
Ele simplesmente teve a chance de transformar R$ 100 em R$ 3.296 apenas aceitando o meu convite.
Ou ganhou até mais, caso tenha seguido minha indicação de aumentar um pouco sua aposta.
Transformando mil reais em R$ 32.962…
Três mil reais em R$ 98.886…
… ou mesmo 5 mil reais em R$ 164.811, de acordo com sua possibilidade de investimento.
O mais legal é que essa iniciativa pioneira não terminou aí…
Foram ao todo 7 oportunidades com expressivas valorizações em prazos relativamente curtos.
Ganho de +3.420% em 1 ano e 9 meses na segunda vez…
+1.628% em 1 ano e 7 meses na terceira…
+651% em 10 meses na quarta…
+756% em 7 meses na quinta…
+623% em 6 meses na sexta…
E até mesmo quem pegou a última entrada em 07/12 viu seu presente mais que QUADRUPLICAR de valor, com valorização de +337% em pouco mais de 3 meses.

Fonte: tradingview
Está tudo registrado, foram 7 oportunidades até hoje com expressivas valorizações em prazos bem curtos.

Fonte: Empiricus, até 15/03/2021
Não é sempre que dá pra repetir esse tipo de estratégia, só fazemos isso quando acreditamos ter algo realmente valioso em mãos.
Como agora, com a minha NOVA APOSTA para os próximos 9 meses, com potencial de ganhos ainda maior do que das vezes anteriores.
Não podemos deixar passar este momento histórico.
Você agora está diante de uma oportunidade singular de ter criptomoedas em seu portfólio, dificilmente haverá outra chance com tamanho potencial.
Não há mais desculpas para você ficar fora do mercado mais rentável da última década e que pode repetir ganhos exponenciais neste Novo Ciclo de Alta.
Os ganhos do grupo que segue minhas indicações não se resumem apenas às criptomoedas que eu dei de presente.
É só conferir o resultado da nossa Carteira de Moedas Digitais.
Ela se valorizou +443,15% em 2020, enquanto a Bolsa brasileira subiu apenas +2,92%.
Rentabilidade 151 vezes maior…

Fonte: Empiricus, de 31/12/19 a 31/12/20
Na média, minha carteira teórica já se valorizou +2.011,84% desde sua criação, de outubro de 2017 até 15 de março de 2021, uma expressiva multiplicação de 21 vezes.
E o fundo para investidores qualificados da Vitreo DTVM, baseado exclusivamente nas minhas indicações, já acumula alta de +480,65% desde sua criação, em 28/02/2020.

Fonte: Empiricus/Vitreo, de 28/02/2020 a 15/03/2021
Isto é, os quotistas que pegaram o fundo desde o início MULTIPLICARAM POR 5,8 VEZES o valor investido em praticamente 1 ano.
Veja bem, a intenção aqui ao mostrar esse histórico vencedor não é ficar contando vantagem.
Até porque retorno passado não é garantia de retorno futuro.
Só quero que você tenha a exata dimensão do potencial desse mercado e perceba o quanto vale a pena molhar o pé nele de forma inteligente, com uma parte do seu patrimônio.
Assim como fazem os assinantes da Empiricus que seguem as nossas indicações…
Iniciei meu primeiro aporte dia 08/09/2020, de 750 reais, peguei bitcoin a 10.000 dólares, dei sorte, de lá pra cá não parei de fazer aportes. Hoje eu somo 10.000 reais em aportes, e esses 10k de real se transformaram em 27k de real. Ou seja, foram basicamente 6 meses, e o investimento foi triplicado. Mesmo sendo fracionado, ele foi triplicado.
Eu queria aqui agradecer o André Franco pelas indicações que me ajudaram muito a ganhar dinheiro (...) Eu comecei no final de julho, começo de agosto, eu já investi em torno de uns 30 mil reais. Praticamente eu já dobrei esse valor.
Eu investi, fiz alocações periódicas em cripto, pegando momentos de fundo, momentos de topo, sem me preocupar com isso e eu ganhei até hoje mais de 400%. Na verdade, era pra eu ter ganhado mais, porque em alguns momentos eu não segui o que vocês disseram…
O que aconteceu comigo basicamente há dois meses? Eu conheci através de uma indicação a Empiricus (...) E aí sim rapidamente tomei uma decisão de me posicionar. Por quê? Porque na vida da gente, nos momentos de decisão, é quando o nosso futuro é traçado, é definido. E aí sim tudo começou a mudar. Depois de dois meses de carteira, eu tenho um retorno de mais de 130% da minha carteira, sem falar de algumas criptomoedas como por exemplo a AAVE (mais de 200%)...
Resolvi vender esse veículo, consegui vender ele por 67 mil reais, peguei esse valor e coloquei na Syntetics. Hoje, com os outros aportes que eu fiz, eu estou com aproximadamente 1 milhão de reais.
Claro que a ideia aqui não é incentivar ninguém a vender o carro ou qualquer outro patrimônio para colocar tudo em cripto.
Mesmo o Felipe, que acompanha nossas orientações, só fez dessa forma porque era um dinheiro que ele podia investir.
Daqui a pouco eu vou te mostrar outras histórias como a deles e também vou te mostrar aqui como investir em criptomoedas com o devido controle de risco, para que você tenha a chance de ganhar muito dinheiro arriscando pouco.
Você ficou de fora dos ganhos anteriores, mas tem uma possibilidade real de participar dos ganhos atuais, numa condição muito privilegiada.
Assim que você der sua permissão…
Vou transferir direto pra sua conta UM LOTE DA NOSSA NOVA APOSTA para os próximos 9 meses
As moedas serão entregues por ordem de chegada, o que implica que este vídeo pode sair do ar a qualquer momento, assim que as reservas forem preenchidas.
Portanto, veja os termos até o final e libere o seu voucher o mais rápido possível, de preferência ainda hoje.
Não temos como garantir por quanto tempo esta mensagem ficará no ar.
Por que a Empiricus está dando criptomoedas de presente?
É natural que você se faça essa pergunta. A resposta é simples…
Primeiro, porque é um investimento relativamente baixo para a empresa.
Com uma pequena parte do nosso orçamento de marketing, nós quebramos uma das principais barreiras relatadas por nossos assinantes: investir em um nicho novo e, para muitos, ainda desconhecido.
Assim…
(i) Eliminamos sua dificuldade inicial em realizar a primeira operação sozinho; e
(ii) Eliminamos o risco de você perder o seu próprio dinheiro nessa operação.
Você RECEBERÁ sem nenhum esforço um lote desta nova moeda digital para sentir no bolso o ganho potencial que você está prestes a experimentar nos próximos dias e meses.
Eis o que está em jogo aqui:
✓ POTENCIAL DE GANHOS SIGNIFICATIVOS nos próximos 9 meses;
✓ SEM COLOCAR DINHEIRO nessa primeira operação, uma vez que vamos bonificar você com um lote da moeda de maior potencial.
✓ ESTRATÉGIA COMBINADA DE PROTEÇÃO com um ativo descorrelacionado que você receberá direto na sua conta, trazendo mais diversificação ao seu portfólio.
Você ganha ao ficar posicionado em uma oportunidade com grande potencial de lucro sem ter que fazer praticamente nada e…
… a Empiricus ganha fidelizando seus assinantes e melhorando ainda mais sua marca.
Você viu o que aconteceu nas oportunidades anteriores, em que os assinantes tiveram uma chance real de multiplicar seu dinheiro por:
• 4,3 vezes em 3 meses… +337,0%
• 7,2 vezes em 6 meses… +623,7%
• 8,5 vezes em 7 meses… +756,5%
• 7,5 vezes em 10 meses… +651,6%
• 17,2 vezes em 19 meses… +1.628,2%
• 35,2 vezes em 21 meses… +3.420,1%
• 32,9 vezes em 22 meses… +3.196,2%
Também viu o desempenho do fundo qualificado que segue as minhas indicações...
Fundo Vítreo Criptomoedas: +480,65%... 5,8x mais!!!
28/02/2020 a 15/03/2021
... e o desempenho teórico da minha carteira.
Carteira Teórica: +2.011,84%... 21x mais!!!
31/10/2017 a 15/03/2021
Agora estamos em busca da próxima supermultiplicação. Eu acredito que a minha NOVA APOSTA pode gerar ganhos ainda maiores que os anteriores.
Quando isso acontecer, esperamos que você se lembre do dia de hoje, quando deu este primeiro passo.
Ao liberar seu voucher, você ganhará um lote desta nova moeda digital totalmente de graça.
*Importante: considerando o processamento do seu cadastro e os detalhes operacionais da liberação dos saldos junto à corretora, o lote da moeda digital será distribuído 8 dias após sua adesão. Porém, você já terá reservado, desde hoje, o valor.
Pelo potencial de multiplicação identificado, isso é mais do que o suficiente para você buscar um lucro bastante expressivo.
Repito:
- Sem correr nenhum risco nesta primeira operação; e
- Sem qualquer dificuldade para operacionalizar a transação.
O momento não poderia ser mais oportuno…
Há 3 boas razões para você incluir criptomoedas em seu portfólio imediatamente:
Os investidores institucionais já estão aqui
Faz tempo que eu alerto os nossos assinantes sobre a iminente entrada do investidor institucional no mercado de cripto, que isso mudaria o jogo.
O Angelo é testemunha…
No início eu apliquei um valor inicial, mas na sequência eu comecei a aplicar 100 reais por mês. Eu falava pros meus filhos: olha, se a gente deixar de jantar uma vez por mês, a família toda, e ficar aplicando nisso a gente vai ser rico. E assim foi feito (...) E agora, desde o final do ano, novembro, dezembro, a coisa não para de crescer exponencialmente. E isso inclusive foi um dos motivos que me dão muita segurança na sua tese, André, a questão da assimetria desse investimento e um segundo ponto que você sempre falou: a hora que o investidor institucional entrasse, a porta ia ficar pequena e isso ia bombar.
O investidor institucional demorou para dar a devida importância a esse mercado, mais tempo do que eu esperava.
Mas aconteceu. A porta ficou pequena.
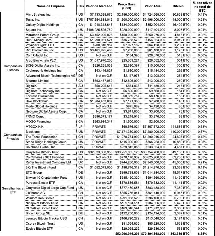
Veja só esta lista, com o total de criptomoedas em posse dos institucionais…

Fonte: Bitcoin Treasure, fev/2021
A MicroStrategy é a primeira, só ela tem 90.859 bitcoins.
Numa cotação de 55 mil dólares, isso equivale a praticamente US$ 5 bilhões de dólares.
Lembra da Tesla?
Portal do Bitcoin, 08/02/2021
A empresa anunciou recentemente a compra de US$ 1,5 bi em bitcoin, o equivalente a 48.000 bitcoins, como vimos na tabela.
Pegando a mesma cotação de bitcoin a 55 mil dólares, seu investimento já está valendo cerca de US$ 2,6 bilhões.
Um bilhão de lucro em pouco mais de um mês.
Voltando à tabela…
Já são 1,36 milhão de bitcoins nas mãos dos investidores institucionais, cerca de US$ 75 bilhões.
Vem muito mais por aí…
O volume de dinheiro que eles têm para investir pode tranquilamente provocar uma multiplicação de 5 ou 10 vezes até o próximo pico do Bitcoin.
O Novo Ciclo de alta mal começou…
Estamos em meio a um Novo Ciclo de Alta, que pode levar o Bitcoin aos US$ 100.000 em 2021
Se considerarmos o ciclo completo, o Bitcoin pode ir além, ultrapassando os US$ 200.000.
E, quando isso acontece, criptomoedas fora do radar podem subir muito mais.
COMO A NOVA MOEDA DIGITAL QUE VOCÊ VAI RECEBER HOJE AO ACEITAR FAZER PARTE DO NOSSO GRUPO.
Há motivos técnicos para isso.
Se por um lado a demanda aumentou com a entrada dos investidores institucionais…
Do outro a oferta de Bitcoins caiu.

Fonte: Infomoney, 11/05/2020
O Halving é uma evolução programada do protocolo do Bitcoin, que faz sua quantidade produzida CAIR PELA METADE a cada 4 anos.
Todo Halving tem sido assim: a produção de Bitcoins diminui e um Novo Ciclo de Valorização começa…

Fonte: mesari.io e Empiricus
Depois do primeiro Halving, em novembro de 2012, o Bitcoin se valorizou +8.438% nos 12 meses seguintes.
Isso significa que uma aplicação de apenas R$ 500 se tornou R$ 42.690 em aproximadamente 1 ano.
Um investimento de R$ 10 mil virou R$ 850 mil em 12 meses.
Da mesma forma, o segundo Halving, em julho de 2016, gerou +2.875% de valorização para o Bitcoin até o pico seguinte.
Agora, estamos na zona de valorização do terceiro Halving, com potencial para impulsionar o Bitcoin para os US$ 100 mil já neste ano.
Entre tudo que eu vi, a tese do halving foi a que me mais me chamou atenção. Por isso eu comecei a economizar dinheiro e finalmente no dia 6 de maio de 2020, eu consegui fazer meu primeiro aporte (...) E os resultados vieram muito rápido. Em novembro, só 6 meses depois do meu primeiro aporte, eu já vi aquele meu investimento ser multiplicado por 2. Foram 100% de rentabilidade em 5 meses (...)
E desde então, hoje em dia, 5 meses depois, eu já vi aquele investimento ser multiplicado de novo, mas agora por três. Foram 200% em 5 meses.
E agora a minha namorada, que é agora a minha esposa, também começou a investir em cripto, e inclusive a minha sogra que é uma senhora de 75 anos também tem o pezinho nesse mercado. E as duas têm um rendimento de mais de 100%.
No total, foram 11 meses, eu vi meu investimento ser multiplicado por 2x e depois por 3, e a gente sabe que é só o começo.
É uma questão matemática, não tem como fugir.
A produção de Bitcoins é limitada, um dia vai simplesmente parar.

Fonte: foxbit.com.br
E, se não bastasse a oferta cada vez menor…
Hoje é muito mais fácil negociar Bitcoins por meio de aplicativos como o PayPal e o Cash App do que era dois anos atrás.
Hoje, PayPal e Cash App, juntos, são responsáveis pela compra de 100% dos novos Bitcoins produzidos.
Isso significa que toda a nova produção de Bitcoins é rapidamente comprada.
Temos uma oferta de criptomoedas reduzida, com uma demanda muito maior do que no passado, aí você já pode imaginar o que acontece com o preço do Bitcoin…
Ele sobe.
E quem tem a moeda não é bobo. Já percebeu essa dinâmica e passou a segurar mais seus Bitcoins, de olho na próxima pernada.
Este gráfico não me deixa mentir…

Fonte: Glassnode
Ele mostra que 45% dos Bitcoins estão sem se movimentar há pelo menos 2 anos.
Quer dizer, o cara compra sua moeda digital e segura, porque acredita na valorização dela.
Agora veja esse outro número…
Hoje, no mundo inteiro, há cerca de 46,8 milhões de milionários.
Mas o estoque de Bitcoins é de 21 milhões.
Se cada milionário do planeta quiser ter 1 Bitcoin, não vai ter moeda suficiente.
É um ativo escasso, não tem para todo mundo.
E sua tendência é ficar cada vez mais caro e inacessível.
Pensa comigo…
Até pouco tempo atrás, dava uma trabalheira danada comprar Bitcoin.
Muita gente até desistia no meio do caminho.
E a maioria dos investidores, tanto institucionais quanto pessoas físicas, não confiava no Bitcoin como reserva de valor.
Mesmo nesse ambiente de falta de confiança e praticidade, o Bitcoin atingiu a maior valorização da última década.
A diferença é tão grande que é até covardia comparar…

Fonte: casebitcoin.com, 31/12/2010 a 31/12/2020
Cem dólares investidos em ouro 10 anos atrás seriam US$ 134 no fim de 2020…
Na Bolsa americana, essa nota de 100 praticamente triplicaria de valor, chegando a US$ 296…
Agora, se o investimento fosse em Bitcoin, 100 dólares se transformariam em US$ 10,7 milhões.
Se num ambiente tão adverso…
… sem os grandes investidores institucionais e com muita dificuldade operacional para a pessoa física...
... o Bitcoin se multiplicou tantas vezes…
O que podemos esperar a partir de agora?
Anote aí… VAI FALTAR BITCOIN.
Já está faltando…

Fonte: Cointelegraph, 14/01/2021
Só quem estiver posicionado é que terá chance e tempo de ganhar muito dinheiro.
Não foi à toa que a moeda rompeu a marca histórica dos US$ 50 mil, podendo atingir US$ 100 mil em 2021 e US$ 200 mil neste Novo Ciclo de Alta.
Dinheiro não falta.
Esse, aliás, é o terceiro e último argumento…
Bancos Centrais no mundo todo estão injetando dinheiro pesado na economia
O choque na oferta de Bitcoins ganhou ainda mais relevância por conta da pandemia…
Nunca vivemos algo semelhante – e ninguém sabe ao certo quando irá acabar e quais serão os impactos econômicos do isolamento social e da doença em si.
Diante disso, os Bancos Centrais do mundo inteiro injetaram doses cavalares de moeda fiduciária no combate à crise.
Imprimiram trilhões e trilhões de dólares, euros, yuans, reais…

Fonte: MoneyTimes

Fonte: Gazeta do Povo

Fonte: Washington Post

Fonte: Estadão
Até o presidente norte-americano eleito, Joe Biden, já preparou um novo estímulo para a economia americana…

Fonte: G1
Ou seja…
1 - Temos os fundos institucionais aumentando a demanda por Bitcoins…
2 - Temos um novo choque de oferta no mercado, com menos Bitcoins produzidos depois do Halving…
3 - E ainda temos um volume histórico de impressão de dinheiro, ocasionando a maior expansão monetária de que se tem notícia.
Não há exagero algum em apostar no Bitcoin como o principal investimento da nova década, assim como foi na década passada.
Essa aposta já fazia sentido antes da pandemia, agora então nem se fala.
Porque…
Quando o Bitcoin sobe, algumas criptomoedas específicas sobem muito mais
Exemplos não faltam…
Um Novo Ciclo teve início com o 3º Halving, e as verdadeiras multiplicações mal começaram.
Basta observar os ciclos passados que você vai entender exatamente do que estamos falando.
O Bitcoin disparou +2.875% no Ciclo de 2016, lembra?
Uma multiplicação de 29 vezes, suficiente para transformar um investimento de R$ 5 mil em R$ 148.750…
Então veja quanto você ganharia no mesmo período se investisse os mesmos R$ 5.000 nestas criptomoedas fora do radar…
R$ 279 mil…
Uma multiplicação exponencial de 56 vezes!!!

Fonte: Coinmarketcap
R$ 755 mil…
Multiplicação exponencial de 151 vezes!!!

Fonte: Coinmarketcap
R$ 303 mil…
Multiplicação exponencial de 61 vezes!!!

Fonte: Coinmarketcap
Só com os ganhos dessa última criptomoeda, você poderia comprar um Audi A3...

… e mais esta bela Hyundai Tucson.

Fonte: Webmotors
Isto é, os dois carros juntos partindo de um investimento de apenas R$ 5.000.
E ainda poderia ganhar muito mais...
R$ 575 mil…
Multiplicação exponencial de 115 vezes!!!

Fonte: Coinmarketcap
R$ 598 mil…
Multiplicação exponencial de 119 vezes!!!

Fonte: Coinmarketcap
Basicamente o valor de um apartamento partindo de apenas R$ 5 mil...
Fato é que, se você tivesse colocado apenas R$ 2 mil em cada uma dessas moedas, teria acumulado mais de R$ 1 milhão poucos meses depois do 2º Halving…
R$ 1.005.370,82
Isso é fato consumado. Aconteceu.
Está acontecendo de novo, inclusive com nossos assinantes.
O Felipe chegou ao seu milhão com forte ajuda de uma moeda fora do radar.
Só de valorização da Systetics foi 400 a 600% (...) Eu estou muito satisfeito. Nunca imaginei que ia conseguir chegar a 1 milhão de reais em menos de 1 ano, e agora eu pretendo pegar esse lucro e abrir um negócio ou comprar um imóvel, eu ainda estou decidindo o que eu vou fazer. Mesmo retirando parte desse valor, pretendo continuar fazendo aportes em curto, médio e longo prazo.
Claro que ganhos passados não são garantia de ganhos futuros, e investimentos em criptomoedas envolvem riscos.
Por isso, é importante seguir uma regra básica:
Nunca investir mais do que 5% do seu patrimônio.
De preferência com compras fracionadas, sem tentar acertar o melhor ponto de entrada.
Eu entendo que muitos iniciantes se empolgam ao ver os ganhos no mercado de cripto.
Como as multiplicações recentes que vimos em 2020.
Se o Bitcoin se valorizou +443,15% no período, algumas criptomoedas fora do radar subiram ainda mais.
Exemplos não faltam…

Fonte: TradingView

Fonte: TradingView

Fonte: TradingView

Fonte: TradingView

Fonte: TradingView
Há dezenas de moedas que triplicaram ou multiplicaram seu valor por 5x, 6x, 7x, 8x ou 10 vezes em 2020, e isso dificilmente aparece na mídia.
Por outro lado, as correções mais bruscas também são comuns nesse mercado, e alguns investidores se assustam quando isso acontece.
Tivemos uma correção em março…
A vantagem é que esse tipo de correção permite um novo ponto de entrada para quem está chegando agora.
E também para quem deseja comprar mais.
Você precisa ter em mente que quedas assim são comuns nos grandes ciclos.
Elas se repetiram algumas vezes no Ciclo de 2017, até o Bitcoin atingir sua valorização de +2.875%.

Fonte: TradingView
O grupo que segue as minhas indicações já entendeu bem essa dinâmica e faz o devido controle de risco.
Investindo quantias menores, que não ultrapassem o 5% do seu patrimônio…
E muitas vezes comprando de forma fracionada, sem tentar acertar o melhor ponto de entrada.
Muitos dizem, me disseram que isso é um risco, mas eu acredito que riscos podem ser dimensionados da forma adequada, um risco calculado, e eu não poderia ter tomado uma decisão mais acertada.
Com o que eu investi até agora, já me valorizou mais de 200%. Desde quando? Novembro do ano passado até o começo de março.
Depois que eu consegui esses 100%, eu dividi esse investimento: metade dele continuou investido em cripto e metade foi sacado e investido em Renda Fixa.
Lembrando que, mesmo sendo fracionado, ele foi triplicado. (...) Eu só vou realizar algo daqui a 3 ou 5 anos, que eu acho que é quando de fato esse investimento vai mostrar para que veio.
Faz todo o sentido que você, como assinante da Empiricus, também diversifique parte do seu patrimônio com criptomoedas.
De forma segura, com o devido controle de riscos, sabendo exatamente o quanto você pode perder e se expondo a multiplicações exponenciais, como estamos vendo aqui.
Eu estudo esse mercado de 8 a 12 horas por dia e vou te ajudar a ganhar dinheiro nele.
Assim como ajudo meus assinantes.
Veja, se eu não confiasse tanto no potencial de ganhos que as criptomoedas oferecem, eu não incentivaria inclusive minha própria família a investir…
Eu conheci o Bitcoin em 2016 através do meu irmão. Mas com muitas dúvidas eu tive muito receio de começar. Só em 2018, com o incentivo da minha mãe, que por sinal tinha mais medo do que eu, coloquei ali o primeiro pezinho na água (...)
Com aportes constantes, não mensais, mas constantes, eu investi cerca de 30 mil reais até o final de 2020 e com muito orgulho de dizer que eu faço Buy & Hold. Quando Bitcoin atingiu 30 mil dólares, eu achei que era hora de colocar algum lucro no bolso e, quando atingiu os 50, eu coloquei mais uma grana no bolso.
Todos os meus investimentos até 2020, até meados de 2020, eles renderam mais de 200% pelo menos. Mas eu guardo um aporte que foi feito em dezembro de 2018, no bear Market, quando o bitcoin estava valendo 3 mil dólares.
Eu comprei 500 reais em bitcoins e hoje, em março de 2021, essa mesma quantidade de satoshis valem quase 12 mil reais. Ou seja, eles renderam mais de 2.000%.
Como você viu, enquanto algumas pessoas insistem em ficar longe do mercado de criptomoedas…
Outras estão ganhando dinheiro. Muito dinheiro.
E você hoje pode fazer parte desse grupo.
A possibilidade de ganhos significativos – ou até maiores dos que o que você viu aqui – é real. Minhas evidências apontam pra isso.
Só precisa seguir minhas instruções, caso você seja uns dos 300 primeiros a garantir sua vaga hoje.
Vou te dar um lote da minha nova criptomoeda, isso já tira de cara todo o risco da sua primeira operação.
Ao mesmo tempo, facilita seu processo de aquisição de moedas, para que você aprenda a investir e possa diversificar com minhas outras recomendações.
Todas têm grande potencial de valorização, como você viu até agora.
E se o Bitcoin pode chegar a US$ 100 mil em 2021…
Eu acredito que as moedas fora do radar que eu vou te mostrar podem se valorizar muito mais.
Principalmente a nova moeda que será transferida para sua conta, se você for um dos 300 novos assinantes a garantir hoje mesmo a sua vaga.
O que pode ser melhor do que ganhar um lote da Nova Moeda Digital com maior potencial de valorização para os próximos 9 meses?
VOCÊ TERÁ UM ABONO CASO NÃO GANHE DINHEIRO COM ELA!
Estou depositando tanta confiança no resultado do nosso estudo com essa nova moeda que vou oferecer ABONO para os assinantes que tiverem acesso à bonificação.
Se a moeda que você receber não se valorizar pelo menos 200% (multiplicação do valor de entrada por 3x) nos próximos 12 meses, nós dobraremos o período de sua assinatura da Empiricus.
Trata-se de uma proposta agressiva, obviamente, que só é permitida pela dinâmica exponencial do ativo que eu escolhi.
O que você precisa fazer para receber a Nova Moeda Digital que vai potencializar seus lucros em 2021?
A partir de agora, você está convidado a fazer parte do grupo de 300 novos assinantes que receberão a transferência da criptomoeda.
Um grupo especial, que recebe informações fechadas sobre quais são as próximas operações com moedas digitais com elevado potencial de valorização.
E fica o alerta: logo essas oportunidades irão acabar.
É cada vez mais escasso o número de oportunidades exponenciais neste subnicho de mercado.
Se você não ganhou dinheiro até agora, a dificuldade tende a aumentar, pois é um mercado que está atraindo cada vez mais os holofotes.
Além de receber o estudo desta moeda digital específica, você terá ainda…
# Uma Carteira Completa de Moedas Digitais com potencial de valorização exponencial
A nova moeda cujo lote será transferido para sua conta carrega enorme potencial de valorização, por se tratar de um dos maiores "betas" deste mercado, e pode ser frontalmente beneficiada no atual Ciclo de Alta.
De toda forma, sabemos do perfil de exponencialidade desta categoria de ativos, de forma que a alocação mais inteligente e efetiva é colocar uma parte pequena do seu patrimônio em uma carteira variada de moedas digitais, com vista a maximizar a exposição a esse perfil de retornos.
# Reports Semanais

Aqui você vai encontrar sempre um tema relevante sobre o mercado de Cripto, pra ficar sempre por dentro de tudo o que acontece e monitorar seu potencial de ganho.
# O curso CryptoExpress: um curso completo com 4 módulos e 18 aulas com tudo o que você precisa saber sobre o mercado de moedas digitais.

Trata-se da plataforma mais rápida para você aprender todos os passos necessários para conhecer, entender e operar de forma prática nesse meio.
# Vídeos com o Passo a Passo de como operacionalizar o mercado de criptomoedas da forma mais eficiente e segura possível.

Se hoje estamos te dando um lote de criptomoedas é porque também queremos que esse tipo de investimento faça sempre parte do seu portfólio.
Tanto o curso quanto os vídeos do Passo a Passo vão te ajudar nesse objetivo, de forma muito prática.
Quanto mais familiarizado você estiver com o mercado de cripto, maior será sua possibilidade de ganhos exponenciais.
# Canal de Telegram

Usaremos este meio para enviar novidades importantes do mercado e alertas de compra e venda de criptoativos, quando for o caso.
Nosso trabalho é ajudar você a diversificar seus investimentos e ganhar dinheiro com responsabilidade, correndo o menor risco possível.
Você viu aqui os ganhos que aconteceram em cada Ciclo depois do Halving.
Mas lembre-se sempre de que retornos passados não são garantia de lucros futuros. Todo investimento envolve risco.
A expectativa de ganhos para 2021 é de fato bastante promissora, meus estudos apontam para isso.
Ganhamos muito dinheiro no ano passado e vamos buscar mais daqui pra frente.
A diferença é que agora você estará junto nessa jornada, diversificando seu patrimônio com uma pequena parte em criptomoedas.
A começar pela moeda digital que você vai receber.
Você só precisa garantir uma das 300 vagas e se tornar hoje mesmo um membro do grupo fechado da série Exponential Coins, com direito a receber sua bonificação.
Ao clicar no botão a seguir, você será direcionado a uma página segura em que poderá revisar os termos de acesso à série.
Em condições normais, esse acesso anual custa 12x de R$ 330.
Mas hoje você não vai pagar esse valor.
Preparamos uma condição realmente especial para os novos assinantes, algo que dificilmente vamos repetir aqui na Empiricus.
O ABONO você já sabe qual é…
Caso a moeda digital que você irá ganhar não se valorize pelo menos 200% (multiplicação por 3x) em doze meses, nós COMPENSAREMOS você com a renovação por mais um ano de sua assinatura (ou a geração de créditos para outra assinatura em nossa loja virtual).
E o preço da assinatura também será bastante vantajoso…
Apenas 12x de R$ 150. Se preferir o pagamento à vista no cartão, ainda receberá um desconto adicional de 10%.
A partir de agora, você já pode liberar o acesso imediato ao seu voucher com a sua nova moeda digital.
RESERVE AQUI O SEU LOTE DO ATIVO

Em resumo:
1) Você ganhará um lote da Nova Moeda Digital de maior potencial de valorização no atual Ciclo de Alta, para ajudar a diversificar o seu portfólio e aumentar o seu retorno.
2) Caso ela não se valorize pelo menos 200% (multiplicação do valor atual por 3x) em 12 meses, daremos a você mais um ano da sua assinatura inteiramente de graça.
E ainda vai receber:
# Carteira Completa de Moedas Digitais, com a indicação das nossas principais apostas para 2021;
# Reports Semanais, com tudo que há de relevante no mercado de criptomoedas;
# Curso CryptoExpress, com 4 módulos e 18 aulas para entender o mercado de moedas digitais;
# Passo a Passo, com vídeos para aprender de forma prática a operacionalizar o mercado de criptomoedas; e
# Canal de Telegram, para receber as atualizações mais importantes do mercado.
Lembrando ainda que você terá 7 DIAS DE ACESSO SEM COMPROMISSO.
Se não gostar do material ou entender que esse conteúdo não é para você, é só devolver, e seu dinheiro será 100% reembolsado.
Nós passaremos sua criptomoeda para outro assinante interessado.
Ou seja, não existe qualquer motivo racional para você não liberar o seu voucher de acesso o mais rápido possível.
Antes que as moedas reservadas se esgotem e sejamos obrigados a tirar esta mensagem do ar…
Um trabalho magnífico da equipe da Exponential Coins, principalmente desse grande líder, conhecedor, técnico que eu sou muito grato, André Franco, obrigado pelo trabalho, obrigado por todo o suporte que eu venho recebendo sempre que necessário da Exponential Coins, da Empiricus...
Assim, você não tem nada a perder em acessar a série e ver com os próprios olhos como uma operação simples pode mudar a sua realidade financeira para sempre.
Veja: somente estamos oferecendo esta condição sem precedentes hoje por conta do momento extraordinário, em meio a um Novo Ciclo de Alta, com um ótimo ponto de entrada.
Além disso, queremos que você conheça o nosso produto.
Simplesmente não existe outra série no mercado que esteja estudando uma a uma essas moedas digitais embrionárias…
Que tenha passado os últimos meses debruçada sobre todos os números de criptomoedas completamente fora do radar dos investidores…
Que possua o respaldo da Empiricus, maior publicadora de conteúdo financeiro do Brasil, com 400 mil assinantes…
E que carregue todo esse pacote de benefícios, com monitoramento das oportunidades (asset allocation de moedas digitais), combinada à análise gráfica dos pontos de entrada e saída.
Antes de saber os detalhes desta nova operação…
Você precisa respeitar estas duas condições, caso queira participar
Nossa intenção aqui é separar os meros curiosos dos realmente interessados em receber o lote do nosso ativo especial.
Embora não tenha restrição de mínimo para investir e seja uma operação simples, em que vamos fornecer aos participantes o passo a passo do que precisa para executar, você deve ter plena ciência destes 2 fatores:
1) VOCÊ SEMPRE DEVE COLOCAR POUCO DINHEIRO NESSE TIPO DE OPERAÇÃO
Como eu disse, no máximo 5% do seu patrimônio. Se você for um cara mais conservador, 1% pode ser mais do que o suficiente.
O objetivo é você minimizar o risco de uma eventual perda no meio do caminho.
A operação em questão tem potencial de valorização muito expressivo e um caráter de diversificação de patrimônio importante para este momento, mas pode envolver riscos.
Uma forma de controlar os riscos é sempre alocar pouco dinheiro nestas oportunidades.
Como primeiro passo, você vai receber um lote desta nova moeda digital de PRESENTE.
(i) Sem qualquer dificuldade em realizar sua primeira operação sozinho; e…
(ii) Sem risco de perder o seu próprio dinheiro com ela.
No decorrer da série, você será apresentado a outras operações explosivas com moedas digitais.
E, pelo potencial de valorização envolvido aqui, você não precisa de uma aplicação grande para tirar uma cifra realmente relevante de lucro.
Você deve, portanto, separar um dinheiro pequeno para começar.
2) VOCÊ PRECISA TER PLENA CIÊNCIA DE QUE RETORNO PASSADO NÃO É GARANTIA DE RESULTADO FUTURO
Você viu aqui casos de multiplicação por muitos fatores.
Casos reais, que aconteceram com os assinantes desta série.
Pessoas comuns tiveram a chance de ganhar dinheiro com isso.
E todos esses casos carregam um elemento em comum.
Algo que faz da oportunidade a seguir uma chance única.
Caso atenda às duas condições acima, você verá como um passo simples pode te dar a chance de ganhar uma verdadeira fortuna com moedas digitais nos próximos meses.
LIBERE AQUI O SEU LOTE DA MOEDA DIGITAL
(Você ainda poderá revisar o seu cadastro antes de finalizá-lo)
Sugerimos apenas que você tome uma decisão o mais rápido possível nesta abertura extraordinária.
Naturalmente, a enorme procura dos leitores pode impactar o preço da moeda digital em questão. Você pode entrar antes, numa condição melhor de mercado.
É justamente por esse motivo que estamos liberando apenas 300 vouchers.
*Importante: considerando o processamento do seu cadastro e os detalhes operacionais da liberação dos saldos junto à corretora, o lote da moeda digital será distribuído 8 dias após sua adesão. Porém, você já terá reservado, desde hoje, o valor.
Pedimos que libere o seu acesso o mais rápido possível. Do contrário, cederemos o seu voucher para o próximo assinante em lista de espera.
Lembrando que se trata de uma moeda digital pequena, em que qualquer variação pode representar um verdadeiro BOOM às cotações.
Quando o Bitcoin sobe, algumas criptomoedas sobem ainda mais, com lucros exponenciais.
Esta é uma possibilidade real de ganhar dinheiro, e você está diante dela.
Um abraço,
André Franco
#
Ainda não liberou o seu acesso?
Por favor, veja a informação a seguir…
Se ainda não clicou no botão acima para efetuar o seu cadastro, imagino que você ainda tenha alguma dúvida…
Deixe-me responder então algumas das questões que os leitores mais me fazem a respeito de oportunidades desse gênero:
“Isso parece um esquema de marketing ou de ‘fique rico fácil’ para mim – Como eu vou saber que é uma oportunidade de verdade?”
Resposta do André: Isso definitivamente não é um esquema de “fique rico fácil”. Nossa empresa, a Empiricus, foi fundada 11 anos atrás e hoje é simplesmente a maior empresa de publicações financeiras do Brasil.
Publicamos ideias, newsletters e o resultado de estudos sérios de investimento.
Apenas sobrevivemos se as pessoas que consomem essas ideias ficarem com a gente no longo prazo. Elas só ficarão, obviamente, se ganharem dinheiro com essas ideias. E, como você viu, o histórico mostra que estão ganhando.
Em 2020, demos um passo importante como empresa, nos transformando numa plataforma completa de investimentos.
Portanto, questione as credenciais de quem lhe falar que isso é “marketing” ou “esquema para ganhar dinheiro fácil”. Veja se essa pessoa possui uma empresa consolidada como a Empiricus. Ou, caso seja uma empresa, se possui números que sejam sequer a metade dos que eu acabei de expor.
“Se o potencial de valorização é tão grande mesmo, por que você não faz a operação para você, e pega todo o lucro sozinho?”
Resposta do André: Sim, eu faço a operação para mim. Parte do meu dinheiro pessoal está alocado em criptomoedas.
E além de ser o meu dever fiduciário e a minha profissão compartilhar esse tipo de informação com os meus leitores, o fato de você também ganhar dinheiro com esta oportunidade em nada muda a minha situação.
Eu não ganharei mais ou menos dinheiro se você entrar.
Não haveria razão para eu esconder isso do meu leitor. Até porque sou remunerado para identificar e compartilhar o resultado dos meus estudos com você.
Essa é minha formação, minha paixão, minha vocação.
“De quanto dinheiro eu preciso para poder participar? Qual o investimento mínimo?”
Resposta do André: Não tem um investimento mínimo. Você pode participar desta operação de acordo com a sua restrição orçamentária, sem problema.
Lembrando que, para quebrar a barreira de dificuldade de operação e deixar o assinante plenamente confortável em não comprometer o seu próprio dinheiro nesse investimento, estamos dando o voucher com a moeda digital em questão totalmente de graça.
De toda forma, caso você queira colocar apenas R$ 100 nesta operação ou em outra sugerida, não há nada que te impossibilite de fazer.
Na verdade, como estamos falando de um tipo de operação exponencial, com potencial de valorização elevado, é até recomendável que você coloque pouco dinheiro.
Assim, você não compromete em nada o seu patrimônio e minimiza bastante qualquer risco associado a uma eventual perda caso algo dê errado.
“Quando o meu lote da moeda ficará disponível para mim?”
Resposta do André: Considerando o tempo para processamento do seu cadastro e a liberação dos saldos junto à corretora, o lote da moeda digital será disponibilizado após 8 dias de sua adesão.
Porém, desde hoje, você terá o valor reservado em seu nome e será informado a cada nova atualização do processo nos próximos dias.
“Esse tipo de operação não é muito arriscado? Eu não posso perder muito, em vez de me proteger?”
Resposta do André: Como se trata de um ganho exponencial com uma moeda digital em estágio embrionário, realmente há risco envolvido nesta operação. Mas a questão é justamente a correlação negativa dela com os ativos convencionais.
Com a emissão de dinheiro pelos bancos centrais em nível global durante a pandemia, as moedas digitais vêm ganhando bastante liquidez, sendo vistas como alternativa a um cenário crítico para o dólar e demais moedas fiduciárias.
Além disso, há duas questões que minimizam o risco para o seu lado…
A primeira delas diz respeito ao investimento inicial baixo e ao fato de você ganhar um lote da moeda digital em questão.
Como se trata de uma assimetria de retornos potenciais bem aguda, a possibilidade de perda é limitada a 100%, enquanto a possibilidade de ganho é infinita (pode ser de +200%, +1.000%, +3.000% ou mesmo +15.000%, como vimos nos casos reais listados neste texto).
Em segundo lugar, esta oportunidade envolve um abono.
A ideia é justamente você ficar confortável para dar o primeiro passo – geralmente o mais difícil.
“Como eu faço para receber o Abono caso não ganhe dinheiro?”
Resposta: É só se cadastrar a partir de algum dos links que estão nesta carta-convite.
LIBERE AQUI O SEU VOUCHER
[COM DIREITO A ABONO]
Caso o ativo não dê um retorno de pelo menos 200% (multiplicação do valor de entrada por 3x) em doze meses, daremos a você mais um ano de assinatura inteiramente de graça.

